判断函数
的奇偶性 答案 奇函数
的有界区间为() A.(-1,0) B(0,1) C(1,2) D(2,3) 答案 A
设
,求
答案 
函数
的定义域为() 答案 (-2,-1)U(-1,3]
(1)如果
=0;那么称
为
的高阶无穷小。
(2)如果
=无穷;那么称
为
的低阶无穷小。
(3)如果
=c(c为不为0的常数);那么称
为
的同阶无穷小。 (4)如果
=1;那么称
为
的同阶无穷小。 (5)如果
=c(c为不为0的常数);那么称
为
的k阶无穷小。
当x->0时,无穷小量
是
的_________无穷小
分子分母同时除以最高次幂
=__________________
第一重要极限
第二重要极限
或写成
=___________________

当极限分子分母同时趋于0或∞时,可对分子分母分别求导(有时会失效) 
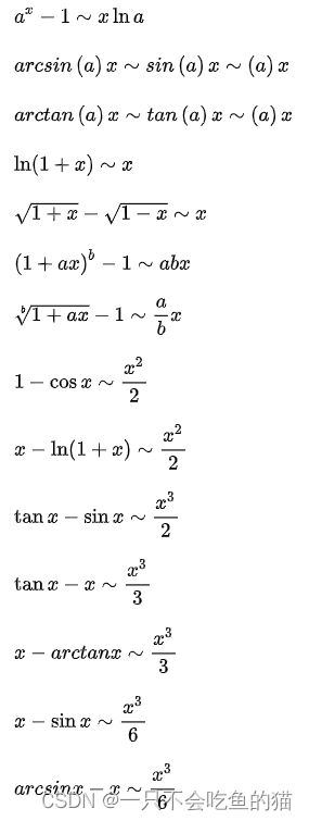
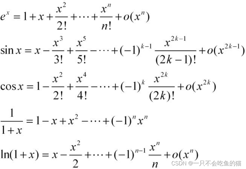
常用的泰勒展开式


例题还在逐步完善中
答案在下一篇文章中